Backpropagation of an AI Transformer in C/C++

Materials available at: http://forejune.co/cuda/

Transformer Layers

Forward Pass of a Decoder

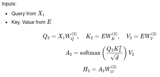
Inputs:
  • Let X = X0 = input to decoder
    X1: after masked attention block
    X2: after cross attention block
    Y = X3: after FFN (final decoder output)
  • E = encoder output

Masked Self-Attention:
   
     

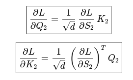
Cross Attention:
   
     

Feed-forward Network:

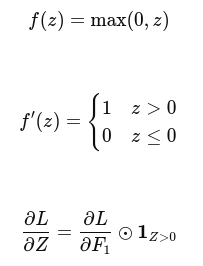
  • F1 = f( X2 W1)  (Relu activation function)
  • F2 = F1 W2
  • Y = X3 = LN(X2 + F2)   (LN = LayerNorm)

Back Propagation General Idea:

Weights or Quantities to be Updated:

The Backward Pass:

Dimensions
nt = number of tokens in target sequence
ns = number of tokens in source sequence
dmodel = model dimension
nv = vocabulary size

Decoder input X  :	nt x dmodel
Decoder output Y :	nt x nv
Encoder output E :	ns x dmodel
Linear weights W :	dmodel x nv
Logits Z = X x W :	nt x nv 
Probabilities P  :	nt x nv
Target matrix T  :	nt x nv	
Loss L		 :	a scalar
γ, β             : 	1 x dmodel
Gradient ∂L/∂β   : 	1 x dmodel
Gradient Loss wrt output ∂L/∂Y  : nt x nv 
Gradient Loss wrt weights ∂L/∂W : dmodel x nv 
Gradient Loss wrt input  ∂L/∂X  : nt x dmodel 
Back-Propagation Implementations Add & norm:

Backprop

    Y = LN(Z), Z = residual sum   (Y ~ yij above)
    (~ x'ij above)
    Let GY = ∂L/∂ Y

    		
    Parameter Gradients:

    Backprop to input:
    typedef vector<vector<double>> matrixd;
    
    class AddnNorm
    {
    private:
        vector<double> gamma;   // size dModel
        vector<double> beta;    // size dModel
    
        matrixd Zhat;           // normalized values (nt x d)
        vector<double> mean;    // per row (nt)
        vector<double> var;     // per row (nt)
    
        double eps;		    // small value
    
    public:
        // constructor
        AddnNorm(int dModel)
        {
           gamma.assign(dModel, 1.0);
           beta.assign(dModel, 0.0),
           eps = 1e-5;
        }
    
        // Assume forward already filled: Zhat, mean, var
        matrixd backProp(const matrixd &X,
                         const matrixd &dL_dY,
                         double eta)
        {
            int nt = X.size();
            int m  = X[0].size();
    
            matrixd dL_dZ(nt, vector<double>(m, 0.0));
    
            vector<double> dL_dGamma(m, 0.0);//gradient wrt gamma
            vector<double> dL_dBeta(m, 0.0); //gradient wrt beta
    
            // 1. Compute dL_dGamma and dL_dBeta for each token
            for (int i = 0; i < nt; i++)
            {
                for (int j = 0; j < m; j++)
                {
                    dL_dBeta[j]  += dL_dY[i][j];
                    dL_dGamma[j] += dL_dY[i][j] * Zhat[i][j];
                }
            }
    
            // 2. Update parameters
            for (int j = 0; j < m; j++)
            {
                gamma[j] -= eta * dL_dGamma[j];
                beta[j]  -= eta * dL_dBeta[j];
            }
    
            // 3. Backprop through LayerNorm (row-wise)
            for (int i = 0; i < nt; i++)
            {
                double inv_sigma = 1.0 / sqrt(var[i] + eps);
    
                // Step A: compute intermediate values
                vector<double> dL_dZhat(m);
                for (int j = 0; j < m; j++)
                {
                    dL_dZhat[j] = dL_dY[i][j] * gamma[j];
                }
    
                double sum_dL_dZhat = 0.0;
                double sum_dL_dZhat_zhat = 0.0;
    
                for (int j = 0; j < m; j++)
                {
                  sum_dL_dZhat += dL_dZhat[j];
                  sum_dL_dZhat_zhat += dL_dZhat[j] * Zhat[i][j];
                }
    
                // Final gradient
                for (int j = 0; j < m; j++)
                {
                    dL_dZ[i][j] =
                        inv_sigma *
                        (dL_dZhat[j]
                         - sum_dL_dZhat / m
                         - Zhat[i][j] * sum_dL_dZhat_zhat / m);
                }
            }
    
            return dL_dZ;
        }
    };

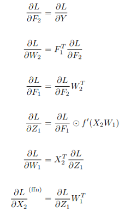
Feedforward Network:
  • F1 = f( X2 W1)  (Relu)
  • F2 = F1 W2
  • Y = X3 = LN(X2 + F2)









		


class FeedForward
{
private:
    matrixd W1, W2;
    int dModel, d_ff;

    // cache
    matrixd F1;   // after activation function ReLU
    matrixd Z;    // before ReLU (needed for derivative)

public:
    FeedForward(int dModel_, int d_ff_)
    {
	........
    }

    // ------------------------------
    // Forward (for cache)
    // ------------------------------
    matrixd FFoutput(const matrixd &X)
    {
        Z  = matmul(X, W1);   // pre-activation
        F1 = f(Z);            // F1 = f(XW1)
        matrixd F2 = matmul(F1, W2); // F2 = F1 W2

	return F2;
    }

    // ------------------------------
    // Backprop
    // ------------------------------
    matrixd backProp(const matrixd &X,
                    const matrixd &dL_dY,  // dL/dF2
                     double eta)
    {
        // ---- W2 ----
	matrixd dL_dF2 = dL_dY;
        // dL/dW2 = F1^T * dL_dF2
        matrixd F1T = transpose(F1);
        matrixd dL_dW2 = matmul(F1T, dL_dF2);

        // dL_dF1 = dL_dF2 * W2^T
        matrixd W2T = transpose(W2);
        matrixd dL_dF1 = matmul(dL_dF2, W2T);

        // ---- find dL_dZ1 ----
        matrixd fd_Z  = f_deriv(Z);
       int rows = dL_dF1.size();
       int cols = dL_dF1[0].size();

	matrixd dL_dZ1 = dL_dF1;	  // same dimension
        for (int i = 0; i < rows; i++)
            for (int j = 0; j < cols; j++)
                dL_dZ1[i][j] = dL_dF1[i][j] * fd_Z[i][j];

        // ---- W1 ----
        // dL/dW1 = X^T * dL/dZ1
        matrixd XT = transpose(X);
        matrixd dL_dW1 = matmul(XT, dL_dZ1);

        // dL/dX = dL/dZ1 * W1^T
        matrixd W1T = transpose(W1);
        matrixd dL_dX = matmul(dL_dZ1, W1T);

        // ---- Update weights ----
        for (int i = 0; i < W2.size(); i++)
            for (int j = 0; j < W2[0].size(); j++)
                W2[i][j] -= eta * dL_dW2[i][j];

        for (int i = 0; i < W1.size(); i++)
            for (int j = 0; j < W1[0].size(); j++)
                W1[i][j] -= eta * dL_dW1[i][j];

        return dL_dX;	// This becomes the dL_dY of next stage
    }
};

			

Multi-head Attention:






















		

Softmax Derivative


 

row-sum(...) produces a column vector 
(nt x 1) then broadcast across 
columns
		
Implementations use single-head math 
but full matrix		
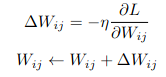
void weightUpdate(matrixd &W, const matrixd &dL_dW, const double eta) 
{
   for (int i = 0; i < W.size(); i++)
     for (int j = 0; j < W[0].size(); j++)
         W[i][j] -= eta * dL_dW[i][j];
}

class MultiHeadAttention {
private:
    int dModel, nHeads, d_k;
    matrixd WQ, WK, WV, WO;

public:
    MultiHeadAttention(int dModel, int nHeads)
        : dModel(dModel), nHeads(nHeads) 
    {

        d_k = dModel / nHeads;
	....
    }

    // ----------- Forward -----------
    matrixd computeAttention(const matrixd &X_Q,
                             const matrixd &X_K,
                             const matrixd &X_V,
                             bool mask) {
        .....

        return H;
    }

   // ----------- Backprop -----------
   matrixd softmax_derivative(const matrixd &dL_dP, 
		   const matrixd &P)
   {
        int nt = P.size(), ns = P[0].size();
        matrixd dL_dS(nt, vector<double>(ns,0));

        for (int i = 0; i < nt; i++)
        {
          double dot = 0.0;
	  // dot product of two row-vectors
          for (int j = 0; j < ns; j++)
            dot += P[i][j] * dL_dP[i][j];  

	  // dot used by all columns of dL/dA
          for (int j = 0; j < ns; j++)  
             dL_dS[i][j] = P[i][j] * (dL_dP[i][j] - dot);
        }

        return dL_dS;
    }

    matrixd backProp(const matrixd &X_Q,
                     const matrixd &X_K,
                     const matrixd &X_V,
                     const matrixd &dL_dH,
                     double eta,
                     bool mask) {

        // ---- Forward recompute (needed for gradients) ----
        matrixd Q = matmul(X_Q, WQ);
        matrixd K = matmul(X_K, WK);
        matrixd V = matmul(X_V, WV);

        matrixd S = matmul(Q, transpose(K));  // nt x nt
        double scale = 1.0 / sqrt((double)d_k);
	int n, m;
	scaleMat(S, scale);

        matrixd P = softmax(S, mask);
        matrixd A = matmul(P, V);

        // ---- Backprop starts ----

        // (1) dL/dA
        matrixd dL_dA = matmul(dL_dH, transpose(WO));

        // (2) dL/dWO
        matrixd dL_dWO = matmul(transpose(A), dL_dH);

        // (3) dL/dV
        matrixd dL_dV = matmul(transpose(P), dL_dA);

        // (4) dL/dP
        matrixd dL_dP = matmul(dL_dA, transpose(V));

        // (5) softmax backward --> dL/dS
        matrixd dL_dS =  softmax_derivative(dL_dP, P);

        // (6) dL/dQ, dL/dK
        matrixd dL_dQ = matmul(dL_dS, K);
	scaleMat(dL_dQ, scale);
        matrixd dL_dK = matmul(transpose(dL_dS), Q);
	scaleMat(dL_dK, scale);

        // (7) weight gradients
        matrixd dL_dWQ = matmul(transpose(X_Q), dL_dQ);
        matrixd dL_dWK = matmul(transpose(X_K), dL_dK);
        matrixd dL_dWV = matmul(transpose(X_V), dL_dV);

        // (8) input gradients
        matrixd dL_dXQ = matmul(dL_dQ, transpose(WQ));
        matrixd dL_dXK = matmul(dL_dK, transpose(WK));
        matrixd dL_dXV = matmul(dL_dV, transpose(WV));

	// (9) weights update
	weightUpdate(WQ, dL_dWQ, eta);
	weightUpdate(WK, dL_dWK, eta);
	weightUpdate(WV, dL_dWV, eta);
	weightUpdate(WO, dL_dWO, eta);

        // Return gradient wrt X_Q (for chaining) 
        return dL_dXQ;		// dL/dX1
    }
};