A Hello-World Example of AI Transformer in C/C++ and CUDA

Materials available at: http://forejune.co/cuda/

Introduction

  • Neural Networks Process Numbers
  • To process language, map words to numbers:
    tokenization and embedding
  • Tokenization: split text into tokens, and assign each token a unique identifier (number)
  • Tokens ~ words, phrases, sub-words, punctuation marks, or characters
  • Embedding: Organizing tokens into a Matrix

    Example:
    • A vocabulary has 10,000 tokens,
    • Each embedding has 300 dimensions
    • The embedding matrix is 10,000 x 300
  • Need to capture the vital correlations between words and orders
    Example:
    			A dog bit a man! is mundane news.
    			A man bit a dog! is a sensational headline.
    			
  • Transformer

  • A Neural Architecture Introduced in 2017

  • Transformer Model Architecture

  • Scaled Dot-Product Attention

  • The output values are passed as input to the next layer
  • The ``error" or ``loss gradient" is used to update the weight matrices, WQ, WK and WV
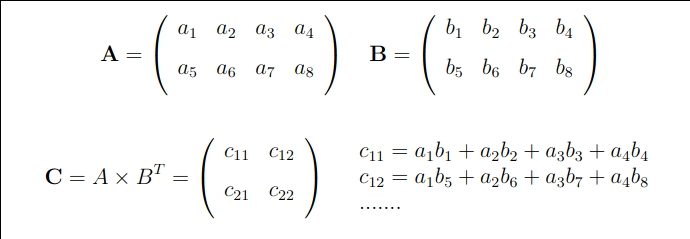
  • Matrix Multiplication

      Each element of A x B is a dot product of
      a row vector of A and a column vector of B.
         Dimensions:	
      	A:	4 x 2
      	B:	    2 x 3
      	-----------------
      	AxB:	4   x   3
      	

      Note that the dimension of A X BT X A has the same dimension as A.

  • Dot-product of Two Vectors
      
      	Consider two unit physical vectors.
      	If they point in the same direction,
      		dot-product = 1
      	If they are perpendicular to each other,
      		dot-product = 0
      	If they point in opposite direction, 
      		dot-product = -1
      
      	dot-product ~ corelation or similarity 
      	              between two vectors
      
      	

  • The Output

    • Attention outputs are not used to update the Value (V) matrix
    • The gradients derived from them during backpropagation are used to update V
    • Note that weight matrices WQ,WK,WV are not the same as the corresponding matrices Q, K and V.
    • Q, K and V are generated from the weight matrices, e.g.
      Input Sequence (X) → X WV V   → Attention Output
      (Provides gradient to update V)
       
      Token
      Embeddings
      Learned Weights
      (Updated via gradients)
      Computed per input
      (Not learned)
       

    • Summary:
      Matrix Origin When & How it's Updated
      Value Matrix (V) A projection of the input, used as the source for the weighted sum. Not updated during the forward pass.
      Value Weight Matrix (WV)     The learned parameters that produce V from the input. Updated during the backward pass of training via gradient descent.
      Attention Output The weighted sum of V, Provides the gradient for updating WV.
  • C/C++ Implementation

          
    
    // transformer.cpp -- A hello-world example of transformer
    // http://forejune.co/cuda/
    
    #include <iostream>
    #include <vector>
    #include <cmath>
    #include <random>
    #include <algorithm>
    
    using namespace std;
    
    // Activation function: using ReLU (Rectified Linear Unit)
    double f(double z)
    {
      return max(0.0, z);
    }
    
    // softmax activation function, 2D input vector
    vector<vector<double>> 
        softmax(const vector<vector<double>>& input) 
    {
      int n = input.size(), m = input[0].size();// n x m matrix 
    
      // 2D output vector n x m y[n][m]
      vector< vector< double>> y(n, vector< double>(m));		 
            
      for (int i = 0; i < n; i++) {
        //maximum value of the row
        double maxVal=*max_element(input[i].begin(),input[i].end());
    									     
        double sum = 0;
        // Subtract max for numerical stability
        for (int j = 0; j < m; j++) {
          y[i][j] = exp(input[i][j] - maxVal);
          sum += y[i][j];
        }
                
        // Normalize
        for (int j = 0; j < input[i].size(); j++) 
          y[i][j] /= sum;
      }
    
      return y;
    }
    
    
    
    // Matrix multiplication   C = A X B   A: nxm, B: mxr, C: nxr
    vector<vector<double>> matmul(const vector<vector<double>>& A,
                                  const vector<vector<double>>& B) 
    {
      int n  = A.size();
      int m = A[0].size();
      int r = B[0].size();
            
      vector<vector<double>> C(n, vector<double>(r, 0));
            
      for (int i = 0; i < n; i++) 
        for (int j = 0; j < r; j++) 
          for (int k = 0; k < m; k++) 
            C[i][j] += A[i][k] * B[k][j];
    
       return C;
    }
        
    // Transpose matrix n x m, B = A^T : m x n
    vector<vector<double>> transpose(const vector<vector<double>>& A) 
    {
       int n = A.size();	//number of rows
       int m = A[0].size(); //number of columns
            
       vector<vector<double>> B(m, vector<double>(n));   // m x n
            
       for (int i = 0; i < n; i++) 
         for (int j = 0; j < m; j++)
           B[j][i] = A[i][j];
    
       return B;
    }
    
    // Generating Random weights
    void randomWeights(vector<vector<double>> &w ) 
    {
      int n = w.size();
      int m = w[0].size();
      for (int i = 0; i < n; i++) {
        for (int j = 0; j < m; j++) {
          w[i][j] = (rand() % 1000) /1000.0;
          if ( rand() % 3 == 0 )
    	 w[i][j] = -w[i][j];	
         }
       }
    }
    
    
    // Hello-word transformer class
    class HelloWorldTransformer 
    {
    private:
        int d;  	 // Dimension of the model
        int nTokens; // Sequence length
        
        //Scaled dot-product attention, Q:Query, K:Key, V:Value
        vector<vector<double>> scaled_attention(
            const vector<vector<double>>& Q,
            const vector<vector<double>>& K,
            const vector<vector<double>>& V) 
        {
            
          // Q X K^T
          vector<vector<double>>QxKT = matmul(Q, transpose(K));
            
          // Scale by sqrt(d_k)
          double d = K[0].size();
          double scale = sqrt(d);
          for (int i = 0; i < QxKT.size(); i++)
    	for(int j = 0; j < QxKT[i].size(); j++)
    	    QxKT[i][j] /= scale;
    
          // Apply softmax
          vector<vector<double>> attention_weights = softmax(QxKT);
            
          // Multiply by V --> A x V
          return matmul(attention_weights, V);
        }
    
    
    public:
        HelloWorldTransformer(int sequence_len, int model_dim) 
        { 
    	nTokens = sequence_len;
            d = model_dim;
        }
    
        // Simple self-attention layer
        vector<vector<double>> self_attention(const vector<vector<double>>& Q0, 
    	const vector<vector<double>>& K0, const vector<vector<double>>& V0) 
        {
            auto Q = Q0;
            auto K = K0;
            auto V = V0;
            
            //return scaled_dot_product_attention(Q, K, V);
            return scaled_attention(Q, K, V);
        }
    };
    
    void printMatrix(const vector<vector<double>> &A)
    {
        for (const auto& row : A) {
            for (double val : row) {
                printf("%6.2f ", val);
            }
            cout << endl;
        }
        cout << endl;
    }
    
    int main() 
    {
        srand(time (0));
        // Configuration
        int nTokens = 3;    // Number of tokens  (3 tokens)
        int d = 4;         // Embedding dimension
        
        // Create transformer
        HelloWorldTransformer transformer(nTokens, d);
    
         // 3 tokens with 4 features (dimensions)
         vector<vector<double>> X = {
            {1, 0, 1, 0},
            {0, 1, 0, 1},
            {1, 1, 1, 1}
        };
    
       // weight matrices
       vector<vector<double>> WQ(d, vector<double>(d));    
       vector<vector<double>> WK(d, vector<double>(d));    
       vector<vector<double>> WV(d, vector<double>(d));    
       randomWeights( WQ );
       randomWeights( WK );
       randomWeights( WV );
    
        // Compute Q, K, V
        auto Q = matmul(X, WQ);	//Q = X x WQ: nTokens x d
        auto K = matmul(X, WK);	//Q = X x WK: nTokens x d
        auto V = matmul(X, WV);	//Q = X x WV: nTokens x d
        
        cout << "Q, K, V embeddings:\n";
        printMatrix( Q );
        printMatrix( K );
        printMatrix( V );
        
        // Apply self-attention: Q, K, V
        auto output = transformer.self_attention(Q, K, V);
        
        cout << "Output after self-attention:\n";
        printMatrix( output );
       
        // Simple feed-forward network: FFN(x) = ReLU(W1*x)
        // W1[d][d]: weights for generating linear sums from attention output
        vector<vector<double>> W1 = {
            {-1,-1,0,1},
            {0,1,1,-1},
            {1,0,1,0},
            {1,1,1,0}
        };
    
        vector<vector<double>> z(nTokens, vector<double>(d));
        auto FFout = z;	// FFout has same dimensions as z 
        z = matmul(output, W1);
        for (int i = 0; i < nTokens; i++)
          for(int j = 0; j < d; j++) 
    	FFout[i][j] = f(z[i][j]); //output of feed forward network
    
        cout << "Transformer Block Output:\n";
        printMatrix( FFout );
    
        return 0;
    }
    

    CUDA Implementation


    threadIdx.x = 2, threadIdx.y = 1, threadIdx.z = 0

    
    	
    // transformer.cu -- A hello-world example of transformer
    // http://forejune.co/cuda/
    
    #include <cstdio>
    #include <cstdlib>
    #include <cmath>
    #include <cuda_runtime.h>
    
    //Index for accessing nxm matrix element at position (i, j)
    #define Idx(i,j,m) ((i)*(m)+(j))
    
    /* ---------------- CUDA kernels ---------------- */
    
    // C = A (nxm) x B (mxr)
    __global__ void matmul(const double* A, const double* B, double* C,
                                  int n, int m, int r)
    {
        int row = blockIdx.y * blockDim.y + threadIdx.y;
        int col = blockIdx.x * blockDim.x + threadIdx.x;
    
        if (row < n && col < r) {
            double sum = 0.0;
            for (int k = 0; k < m; k++)
                sum += A[Idx(row,k,m)] * B[Idx(k,col,r)];
            C[Idx(row,col,r)] = sum;
        }
    }
    
    __global__ void transpose(const double* A, double* B, int n, int m)
    {
        int row = blockIdx.y * blockDim.y + threadIdx.y;
        int col = blockIdx.x * blockDim.x + threadIdx.x;
        if (row < n && col < m) 
            B[Idx(col,row,n)] = A[Idx(row,col,m)];
    }
    
    
    
    // Row-wise softmax, n threads work in parallel
    __global__ void softmax(double* A, int n, int m)
    {
        int row = blockIdx.x;
        if (row < n) {
            double maxv = A[Idx(row,0,m)];
            for (int j = 1; j < m; j++)
                maxv = fmax(maxv, A[Idx(row,j,m)]);
    
            double sum = 0.0;
            for (int j = 0; j < m; j++) {
                A[Idx(row,j,m)] = exp(A[Idx(row,j,m)] - maxv);
                sum += A[Idx(row,j,m)];
            }
    
            for (int j = 0; j < m; j++)
                A[Idx(row,j,m)] /= sum;
        }
    }
    
    // scaling 
    __global__ void scaling(double* A, const double sqrd,  int n)
    {
        int i = blockIdx.x * blockDim.x + threadIdx.x;
        if (i < n)
            A[i] /= sqrd;
    }
    
    /* ---------------- Host helpers ---------------- */
    
    void randomWeights(double* W, int n, int m)
    {
        for (int i = 0; i < n*m; i++) {
            W[i] = (rand() % 1000) / 1000.0;
            if (rand() % 3 == 0) W[i] = -W[i];
        }
    }
    
    void printMatrix(const double* A, int n, int m)
    {
        for (int i = 0; i < n; i++) {
            for (int j = 0; j < m; j++)
                printf("%6.2f ", A[Idx(i,j,m)]);
            printf("\n");
        }
        printf("\n");
    }
    
    /* ---------------- Main ---------------- */
    
    int main()
    {
    //    srand(time(0));
    
        const int nTokens = 3;
        const int d = 4;
    
        // Host matrices
        double X[nTokens*d] = {
            1,0,1,0,
            0,1,0,1,
            1,1,1,1
        };
    
        double WQ[d*d], WK[d*d], WV[d*d], Q[nTokens*d], K[nTokens*d], KT[d*nTokens], V[nTokens*d];
        randomWeights(WQ, d, d);
        randomWeights(WK, d, d);
        randomWeights(WV, d, d);
    
        // Device memory
        double *dX, *dWQ, *dWK, *dWV;
        double *dQ, *dK, *dV;
        double *dKT, *dScores, *dOut;
    
        cudaMalloc(&dX, nTokens*d*sizeof(double));
        cudaMalloc(&dWQ, d*d*sizeof(double));
        cudaMalloc(&dWK, d*d*sizeof(double));
        cudaMalloc(&dWV, d*d*sizeof(double));
    
        cudaMalloc(&dQ, nTokens*d*sizeof(double));
        cudaMalloc(&dK, nTokens*d*sizeof(double));
        cudaMalloc(&dV, nTokens*d*sizeof(double));
        cudaMalloc(&dKT, d*nTokens*sizeof(double));
        cudaMalloc(&dScores, nTokens*nTokens*sizeof(double));
        cudaMalloc(&dOut, nTokens*d*sizeof(double));
    
        cudaMemcpy(dX, X, sizeof(X), cudaMemcpyHostToDevice);
        cudaMemcpy(dWQ, WQ, sizeof(WQ), cudaMemcpyHostToDevice);
        cudaMemcpy(dWK, WK, sizeof(WK), cudaMemcpyHostToDevice);
        cudaMemcpy(dWV, WV, sizeof(WV), cudaMemcpyHostToDevice);
    
        dim3 block(16,16);		//block size: (16, 16)
        dim3 gridSize(1, 1);	//grid size: (1,1)
    
        // Q = X WQ, K = X WK, V = X WV
        matmul<<<gridSize,block>>>(dX,dWQ,dQ,nTokens,d,d);
        matmul<<<gridSize,block>>>(dX,dWK,dK,nTokens,d,d);
        matmul<<<gridSize,block>>>(dX,dWV,dV,nTokens,d,d);
        cudaDeviceSynchronize();
        cudaMemcpy(Q,dQ,sizeof(Q),cudaMemcpyDeviceToHost);
        cudaMemcpy(K,dK,sizeof(K),cudaMemcpyDeviceToHost);
        cudaMemcpy(V,dV,sizeof(V),cudaMemcpyDeviceToHost);
    
        printf("Q, K, V embeddings:\n");
    
        printMatrix(Q, nTokens, d);
        printMatrix(K, nTokens, d);
        printMatrix(V, nTokens, d);
    
        // K^T  transpose of K
        transpose<<<gridSize, block>>>(dK, dKT, nTokens, d);
        cudaDeviceSynchronize();
        cudaMemcpy(KT,dKT,sizeof(KT),cudaMemcpyDeviceToHost);
        // Scores = Q K^T
        matmul<<<gridSize,block>>>(dQ,dKT,dScores,nTokens,d,nTokens);
    
        // Scale
        double scale = sqrt((double)d);
        int total = nTokens*nTokens;
        // one block has 256 threads
        scaling<<<(total+255)/256,256>>>(dScores, scale, total);
        cudaDeviceSynchronize();
    
        // Softmax, nTokens blocks, 1 thread per block
        softmax<<<nTokens,1>>>(dScores,nTokens,nTokens);
    
        // Output = Scores V
        matmul<<<gridSize,block>>>(dScores,dV,dOut,nTokens,nTokens,d);
    
        // Copy back
        double output[nTokens*d];
        cudaMemcpy(output,dOut,sizeof(output),cudaMemcpyDeviceToHost);
    
        printf("Output after self-attention:\n");
        printMatrix(output,nTokens,d);
    
        cudaFree(dX); cudaFree(dWQ); cudaFree(dWK); cudaFree(dWV);
        cudaFree(dQ); cudaFree(dK); cudaFree(dV);
        cudaFree(dKT); cudaFree(dScores); cudaFree(dOut);
    
        return 0;
    }